Công Thức Của Con Lắc đơn

Các công thức này áp dụng đúng cho cả.
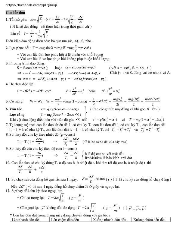
Công thức của con lắc đơn. Dao động của con lắc đơn là dao động điều hòa điều kiện là góc α 10 o chỉ phụ thuộc vào độ dài dây treo và vị trí đặt dây trong trường trọng lực mà không phụ thuộc vào khối lượng của vật được treo vào đầu dây. Góc lệch cực đại của dây treo con lắc là. Dưới đây là một số ví dụ có lời giải chi tiết và những bài tập trắc nghiệm có đáp án giúp các bạn luyện kiến thức. Học247 xin giới thiệu đến các em tài liệu tóm tắt lý thuyết và công thức tính nhanh các bài toán về con lắc đơn trong dao động điều hòa môn vật lý 12.
Khi con lắc đơn dao động điều hòa chịu thêm tác dụng của lực f ta sử dụng các công thức tổng quát bên dưới. Và các bạn hãy chú ý. Bài này giới thiệu các em một công thức độc lập thời gian để tìm vận tốc con lắc. Phương trình dao động điều hòa của con lắc đơn.
Con lắc đơn chiều dài l1 l2 l1 l2 có chu kỳ là. C lực căng của sợi dây. Từ vị trí cân bằng người ta truyền vật m với vận tốc 8m s theo phương ngang. Con lắc đơn gồm vật nặng m treo vào một sợi dây có chiều dài 6 4m dao động ở nơi có g 10m s 2.
Cơ năng của con lắc đơn được bảo toàn nếu bỏ qua ma sát. Khi con lắc đơn dao động với a0 bất kỳ. Trên đây là công thức tính cơ năng động năng thế năng của con lắc đơn. Công thức con lắc đơn và các dạng bài tập.
Công thức con lắc đơn khi chịu thêm tác dụng của ngoại lực f không đổi. T mg 3cosα 2cosα0 lưu ý. Con lắc đơn chiều dài l 1 l 2 có chu kỳ là. để tính tìm vận tốc con lắc đơn dao động điều hòa chúng ta có nhiều cách.
Công thức con lắc đơn khi chịu thêm tác dụng của ngoại lực f không đổi. áp dụng công thức ví dụ 3. Tại cùng một nơi con lắc đơn chiều dài l 1 có chu kỳ t 1 con lắc đơn chiều dài l 2 có chu kỳ t 2 thì. Con lắc đơn chiều dài l1 l2 có chu kỳ là.
Cơ năng là một đại lượng được bảo toàn. Tau mg 3 cos alpha 2 cos alpha 0 công thức lực căng dây lớn nhất của con lắc đơn được tính như sau.